Критерий Келли – это название стратегии для игры в букмекерской конторе, которая подразумевает грамотную работу со своим банком. Ее суть в том, что игрок определяет размер каждой следующей ставки, чтобы максимально грамотно и эффективно распоряжаться имеющимися у него средствами. По идее, если следовать данной стратегии, то игрок вряд ли потеряет все свои средства, так как в данном случае нет какого-то конкретного размера ставки. Тут вся соль в том, что беттер сам оценивает вероятность прохода ставки, и уже после этого по формуле, о которой мы поговорим ниже, определяет ту сумму, которую он в итоге поставит.
Критерий Келли в ставках на спорт: что это такое и как его использовать?
Содержание
Когда использовать критерий Келли в ставках?
Так как данная стратегия подразумевает работу с банком и размером ставок, то она больше подходит опытным игрокам в БК, которые уже умеют на достаточно неплохом уровне грамотно оценивать вероятность прохода того или иного пари. Без этого умения никакая даже самая грамотная работа с банком не поможет оставаться в плюсе.
\Грубо говоря, суть стратегии сводится к противостоянию игрока и букмекера в том, кто более точно определит вероятность осуществления того или иного сценария матча. Критерий Келли подразумевает игру на тех событиях, вероятность свершения которых БК недооценили. Соответственно, у игрока появляется возможность сыграть завышенный коэффициент. Если использовать более специфическую лексику беттеров, то подобную ставку называют «валуйной».
Наверное, большинство уже поняли, что главный недостаток критерия Келли в том, что клиент БК может банально неправильно проанализировать игру и, соответственно, неверно оценить шансы на проход той или иной ставки, свершения определенного события. Получается, что если беттер переоценил какое-то событие, то он в итоге окажется проигравшим, а если недооценил, то все будет уже не столь печально – выиграет, просто не так много, как при грамотной оценке ситуации.
Как играть по критерию Келли: формула расчета и примеры
Формула критерия Келли позволяет определить игроку размер суммы, которую надо поставить на тот или иной матч. Опять же, еще раз уточним – все сработает правильно только в том случае, если букмекер недооценил какую-то разновидность ставки, а вот игрок оказался более прозорлив.
Для тех, кто не знает, как переводить коэффициент в процент, отражающий вероятность события, то тут нет ничего сложного – 100 нужно разделить на сам коэффициент.
А теперь стоит перейти к наглядным примерам, чтобы все стало окончательно понятно. Возьмем игру «Барселоны» против «Севильи». Каталонцы, разумеется, считаются фаворитом матча, получили более низкий коэффициент – 1.40. Теперь мы определяем вероятность успеха сине-гранатовых в предстоящей игре: 100 / 1.4 = 71,4%. Итак, букмекер оценил вероятность победы «блауграны» в 71,4%.
Скажем, игрок полагает, что она ниже – 60%. К примеру, каталонцы не очень уверенно выиграли в прошлом матче или в целом в последнее время не очень стабильны. На другую оценку могут повлиять самые разные факторы, но речь сейчас не о них. Суть в том, что в таком случае получается, что букмекер переоценивает перспективы фаворита. Но, как вы уже поняли из ранее написанного, в данном случае ставка нам не подходит. По мнению беттера вероятность победы «Барселоны» ниже, а потому коэффициент должен был быть выше. Критерий Келли советует игнорировать такие пари.
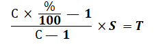
Формула для расчета оптимальной суммы ставки по критерию Келли выглядит следующим образом:
- C – коэффициент, выставленный в линии букмекера;
- % – вероятность того, что данное событие состоится, в процентах (в соответствии с мнением игрока);
- S – размер банка;
- T – наиболее выгодная сумма для заключения пари.
Переходим к следующему примеру, который подошел бы нам в соответствии с условиями, при которых стоит применять критерий Келли. «Манчестер Юнайтед» дома играет против «Тоттенхэма». В БК выставили на «красных дьяволов» коэффициент 2.85. Соответственно, мы легко определяем, что контора оценивает вероятность победы хозяев поля в 35%. Скажем, игрок после анализа множества факторов полагает, что у команды больше шансов на успех в предстоящей встрече – 50%. Соответственно, такой вариант нам подходит. Теперь используем формулу, описанную выше, для определения суммы, которую стоит поставить. Предположим, что банк составляет 1000 денежных единиц.
Нам понадобятся следующие цифры:
- 2.85 – коэффициент из линии букмекера;
- 50 – вероятность прохода ставки по мнению игрока, в процентах;
- 1000 – общая сумма в банке игрока.
Получается, что пари стоит заключить на сумму 229 рублей, что эквивалентно 22,9% от общего банка.
В конце хотелось бы еще раз уточнить, что брать себе на вооружение критерий Келли стоит только тем игрокам, кто уже достаточно продолжительное время делают ставки в БК, и научились достаточно грамотно анализировать события, на которые собираются ставить. Для новичков попытки определить вероятность прохода события в процентах будет больше напоминать попытку попасть пальцем в небо. А в таком случае ничего хорошего не получится.
Рекомендуем почитать
Что такое флэт в ставках: описание стратегии и примеры использованияАртем Арутюнян
Футзал: история и правила, разновидности ставок, тонкости стратегий и аналитикиМарк Ованнисян- Тейкдаун: что это такое?Марк Ованнисян
Кричалки, лозунги, песни и гимны болельщиков “culés”Вячеслав Илюшин
Ставки на настольный теннис: какие особенности следует учитывать игрокуАртем Арутюнян- Мониторинг движения коэффициентов букмекерских конторАртем Арутюнян
Все о женском футболе: популярные лиги, лучшие команды и игроки, ставки у букмекеровВячеслав Илюшин
Ставки на гольф: нюансыМарк Ованнисян